Skip to content
Lockeland Park HOA
Menu
+
×
expanded
collapsed
Home
News
Board
Events
Newsletter
Documents
Covenants
Amendments
Bylaws
Easements
Articles
Land Parcels
Minutes
Annual Meeting
Forms
A R C Request
Covenant Violation
Contact
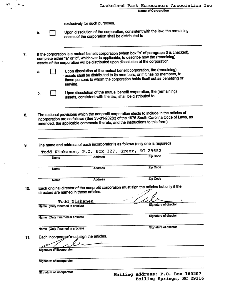
Articles
Articles of Incorporation
Lockeland Park HOA
Sign up
Log in
Copy shortlink
Report this content
Manage subscriptions
Loading Comments...
Write a Comment...
Email (Required)
Name (Required)
Website